Panier d'achat
Loading
Plus que -1 restants

Operator Semigroups: Continuous Assessment

En promotion
€5.00
€5.00
Ajouté au panier

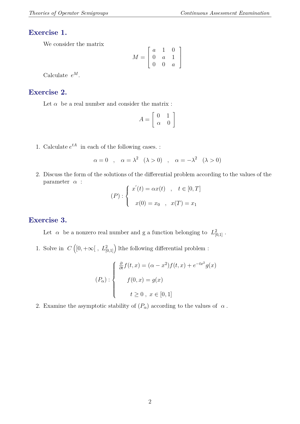
Continuous Assessment Test — Theories of Operator Semigroups


This continuous assessment is designed for Master’s level Mathematics students and covers advanced concepts in the theory of operator semigroups applied to differential equations. It combines theoretical analysis, rigorous reasoning, and practical exercises to ensure a deep understanding of solution dynamics.


Learning Objectives:

- Analyze how solutions depend on parameters (e.g., discussion based on the values of α).

- Solve differential problems in functional spaces such as C([0,+∞[) and L2([0,1]).

- Apply tools related to operator semigroups, including the computation of matrix exponentials such as e^(tA).


Assessed Content:

- Theoretical Discussion: Qualitative study of solution behavior depending on parameters.

- Analytical Solutions: Formulation and resolution in appropriate functional spaces (Banach or Hilbert spaces).

- Applied Calculations: Using semigroup properties to perform concrete operator computations.


Target Audience:

Master’s level Mathematics students in functional analysis, differential equations, or operator theory, looking to prepare effectively for continuous assessments and final exams.


Vous obtiendrez un fichier PDF (220KB)