Panier d'achat
Loading
Plus que -1 restants

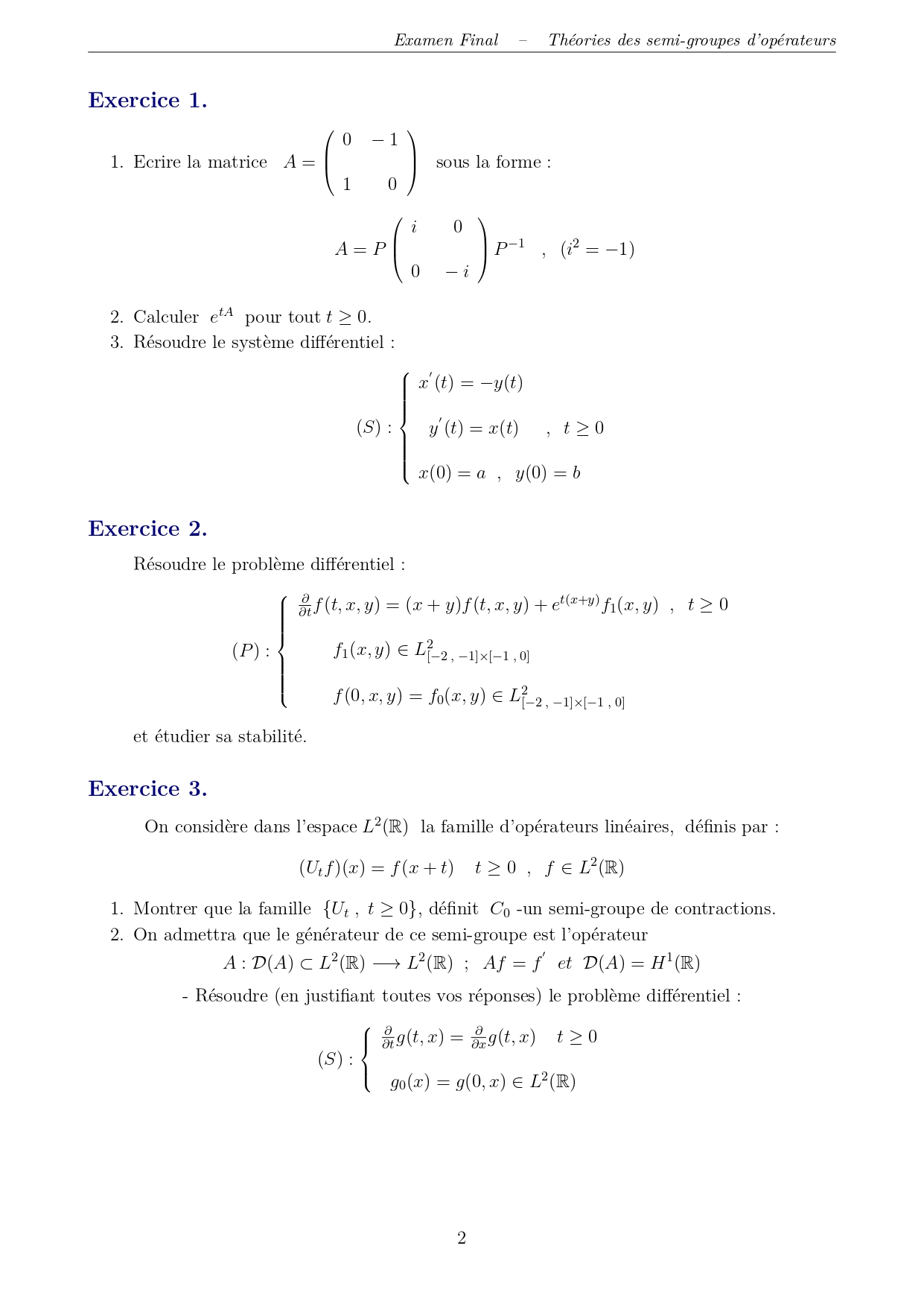
📘 Examen final corrigĂ© – ThĂ©orie des semi-groupes d’opĂ©rateurs

En promotion
€5.00
€5.00
Ajouté au panier

📘 Examen Final CorrigĂ© – ThĂ©orie des Semi-Groupes d’OpĂ©rateurs

Ce fichier PDF contient un examen final rĂ©el destinĂ© aux Ă©tudiants de Licence 3 en MathĂ©matiques, portant sur le chapitre ThĂ©orie des semi-groupes d’opĂ©rateurs. Il inclut le sujet complet ainsi qu’une correction dĂ©taillĂ©e et rigoureuse, expliquant chaque Ă©tape pour faciliter la comprĂ©hension et l’apprentissage.


Ce document est parfait pour :

  • RĂ©visions intensives avant l’examen.
  • Auto-Ă©valuation efficace de vos connaissances.
  • Approfondir votre comprĂ©hension d’un thĂšme souvent jugĂ© difficile.

✹ Le PDF est prĂȘt Ă  l’impression, avec une mise en page claire et lisible pour un usage pratique en cours ou Ă  la maison.


Vous obtiendrez un fichier PDF (182KB)