Your Cart
Loading

Math Study Notes - Financial Math

On Sale
$0.00
Free Download
Added to cart

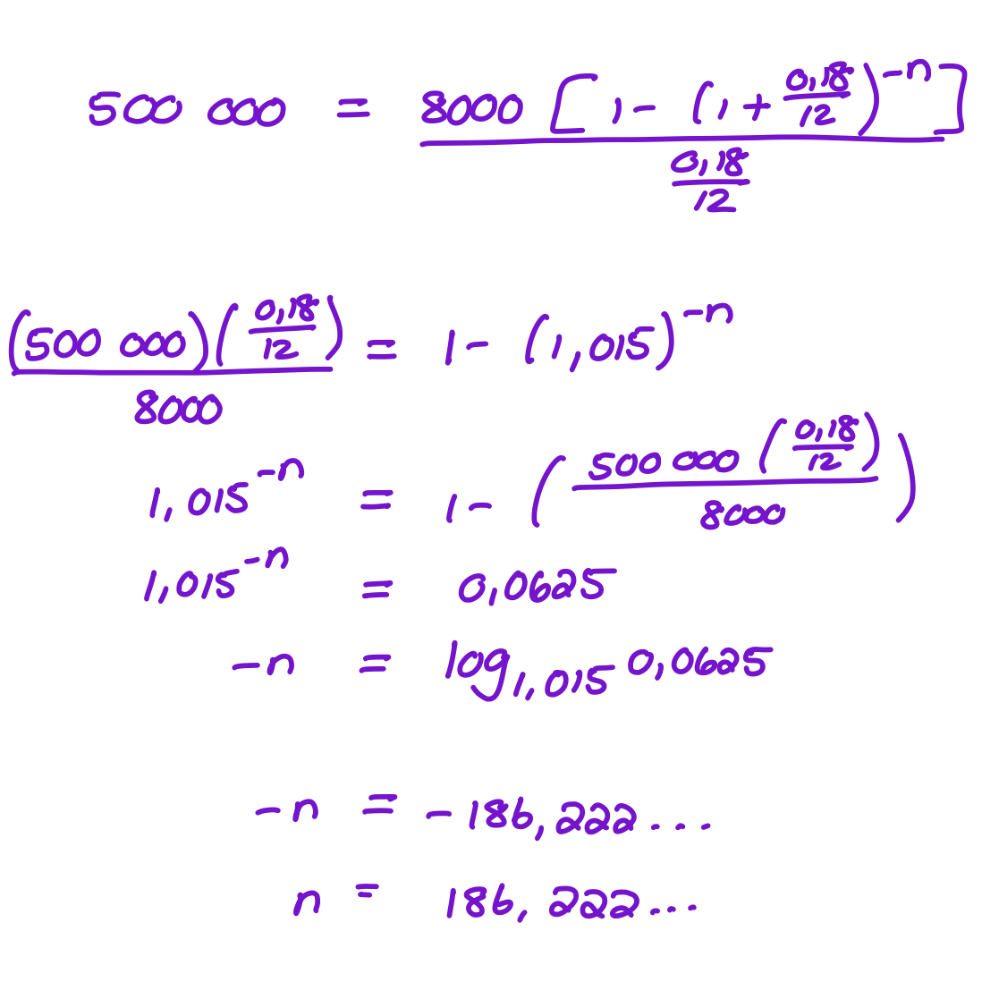
Master Financial Mathematics with these vibrant, handwritten study notes designed to make your learning experience engaging and effective. This easily printable PDF covers all essential Financial Math topics you need to excel in your exams, featuring:


  • Nominal and Effective interest rates
  • Future Value Annuities (F-formula)
  • Loans (P-formula)
  • Missed payments, Sinking Funds
  • Exam Type Questions



Each page bursts with color-coded notes that bring the material to life, making complex concepts easier to understand and memorize. Perfect for high school exams, this study guide is your ultimate companion for mastering Financial Mathematics!

(Notes are based on the CAPS-syllabus for Grade 12 Mathematics)



You will get a PDF (4MB) file