Panier d'achat
Loading
Plus que -1 restants

Integral Calculus - Solved Exercises

En promotion
€3.00
€3.00
Ajouté au panier

📘 Integral Calculus – Solved Exercises

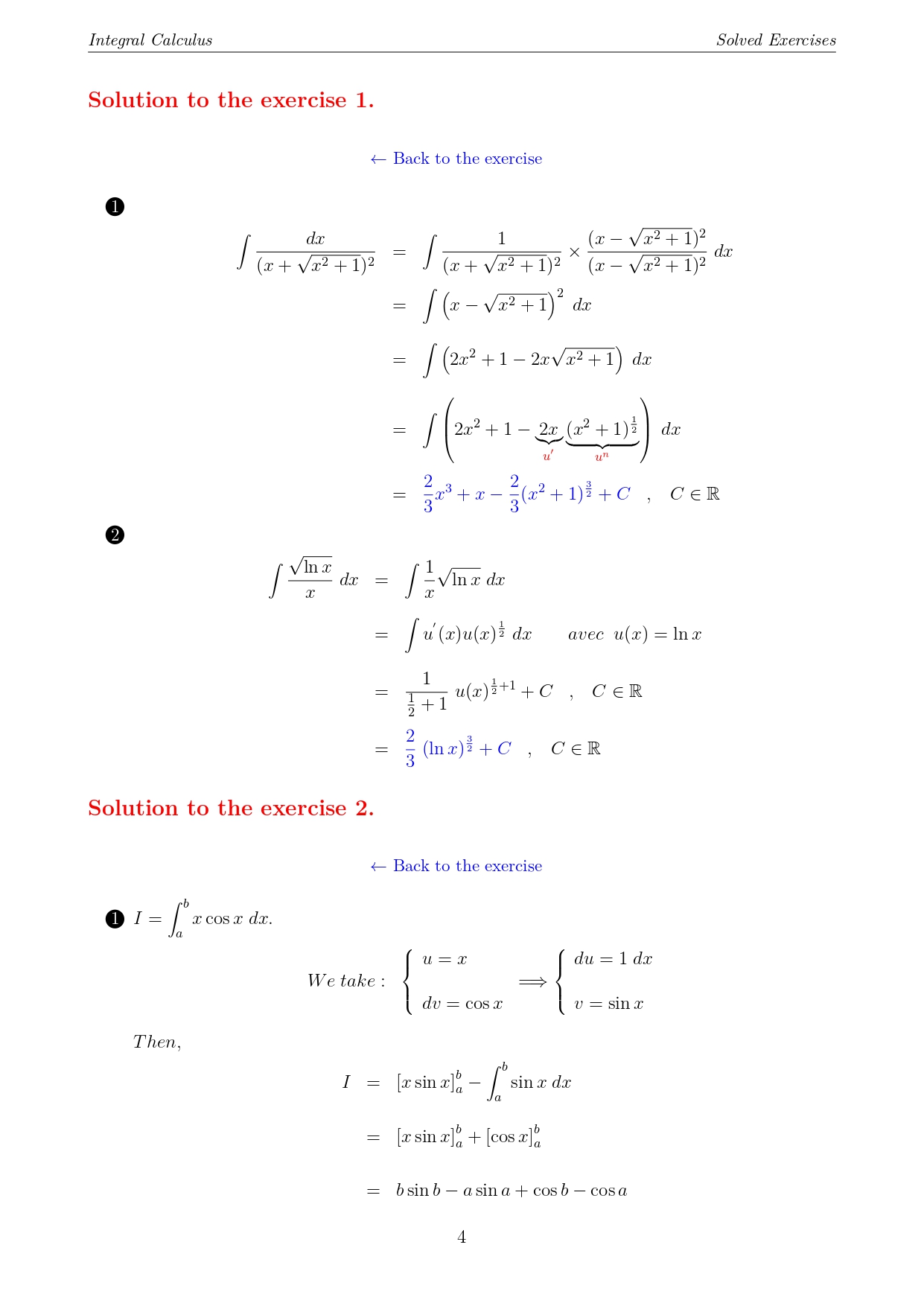
This file serves as a practical resource for students in mathematics and sciences, gathering a series of carefully selected exercises on integral calculus.

Contents include:

  • A variety of exercises covering different methods of calculation (substitution, integration by parts, rational fractions, trigonometry, etc.).
  • Detailed step-by-step solutions for a clearer understanding of the reasoning process.
  • Remarks and explanations to help avoid common mistakes.
  • Progressive examples, from fundamental to advanced levels, to effectively prepare for exams.

📂 Target Audience: This document is particularly suitable for undergraduate mathematics students, especially first-year students (L1). It is also useful for students in other scientific fields who wish to strengthen their skills in analysis and integration.

🧮 Objective: Whether for a complete review before an exam or for independent practice, this file provides the essential tools to master integral calculus.


Vous obtiendrez un fichier PDF (261KB)