Panier d'achat
Loading
Plus que -1 restants

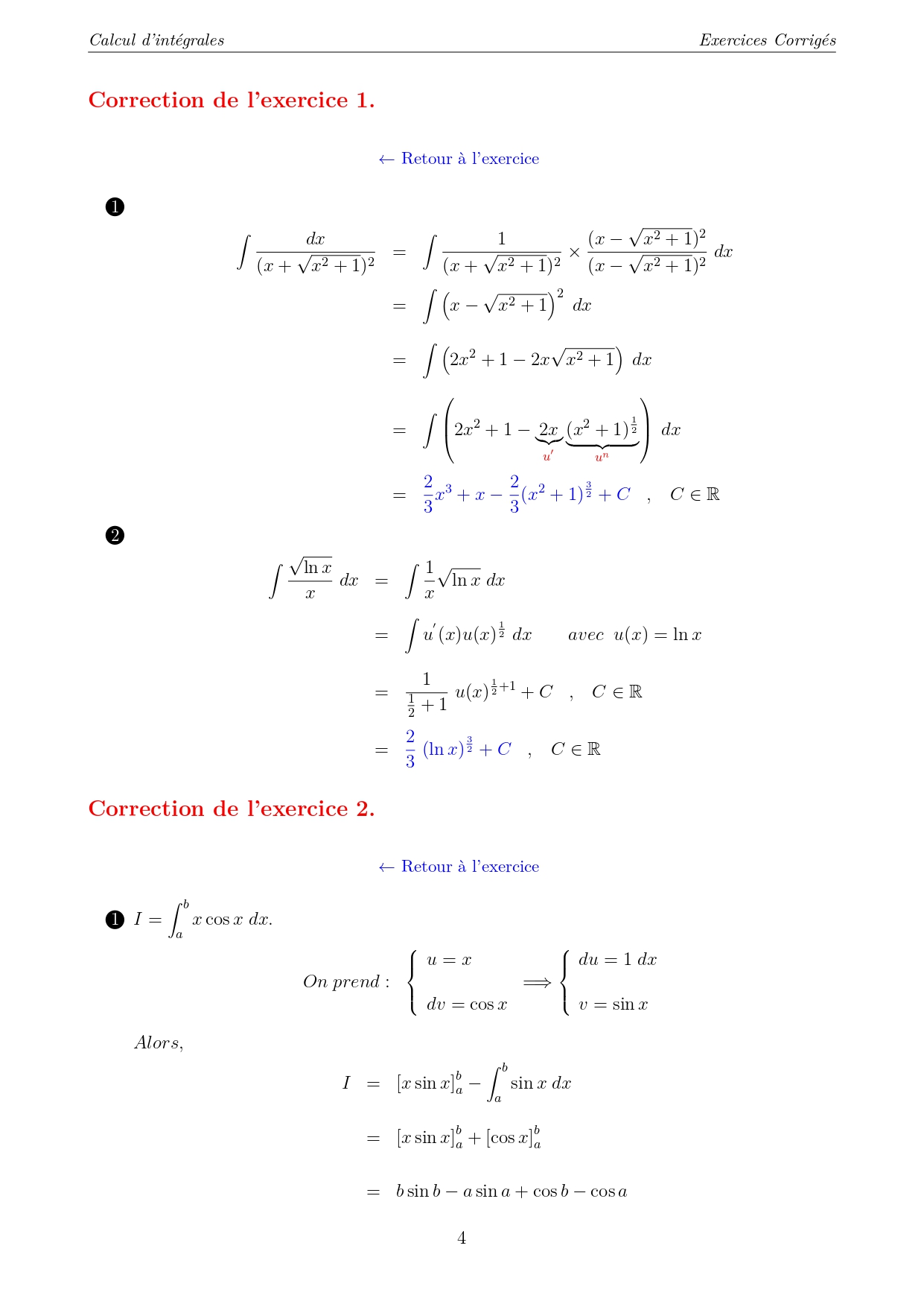
Série complète : Exercices corrigés de Calcul d’Intégrales

En promotion
€5.00
€5.00
Ajouté au panier

📘 Série d’exercices corrigés – Calcul d’intégrales

Cette série d’exercices corrigés en Calcul d’intégrales est spécialement conçue pour les étudiants de Licence 1 (Mathématiques). Elle couvre les méthodes classiques et essentielles telles que :

  • 💡 Intégration par parties
  • 💡 Changements de variables
  • 💡 Intégrales trigonométriques

Chaque exercice est accompagné d’une solution détaillée, claire et progressive, ce qui en fait une ressource idéale pour la révision des examens et la consolidation des bases en analyse.

Le fichier est proposé en format PDF imprimable, pratique pour les étudiants qui souhaitent travailler hors ligne, annoter directement sur papier et préparer efficacement leurs épreuves.

📌 Points forts :

  • 📘 Fichier PDF clair et structuré – adapté à l’impression
  • 🎯 Exercices variés et progressifs – de base aux plus avancés

  • ✅ Corrigés détaillés – pour comprendre chaque étape

  • 🧑‍🎓 Conçu pour les étudiants Licence 1 – mais utile aussi pour prépa/examens supérieurs
  • 🚀 Excellent support de révision pour les examens


Vous obtiendrez un fichier PDF (265KB)