Your Cart
Loading

Math Study Notes - Sequence and Series

On Sale
$1.00
$1.00
Added to cart

Master high school Sequence and Series with these vibrant, handwritten study notes designed to make your learning experience engaging and effective. This easily printable PDF covers all essential Sequence and Series topics you need to excel in your exams, featuring:

  • Quadratic Number Patterns
  • Arithmetic Sequence and Series (linear)
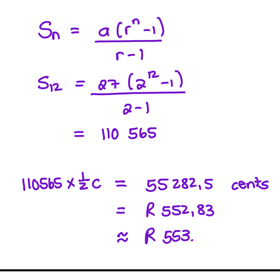
  • Geometric Sequence and Series
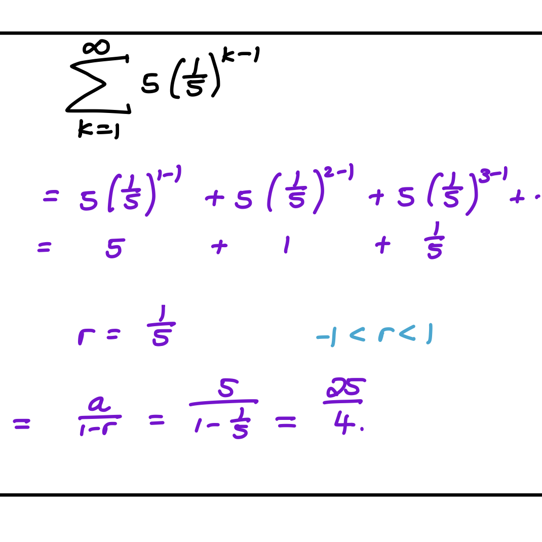
  • Sigma Notation
  • Convergent Series (Sum to infinity)
  • Exam type questions and problems


Each page bursts with color-coded notes that bring the material to life, making complex concepts easier to understand and memorize. Perfect for high school exams, this study guide is your ultimate companion for mastering Sequence and Series!



(Notes are based on the CAPS-syllabus for Grade 12 Mathematics)



You will get a PDF (4MB) file